The benzoin addition is an addition reaction involving two aldehydes. The reaction generally occurs between aromatic aldehydes or glyoxals,[1][2] and results in formation of an acyloin. In the classic example, benzaldehyde is converted to benzoin.[3]
The benzoin condensation was first reported in 1832 by Justus von Liebig and Friedrich Wöhler during their research on bitter almond oil.[4] The catalytic version of the reaction involving cyanide was developed by Nikolay Zinin in the late 1830s.[5][6]

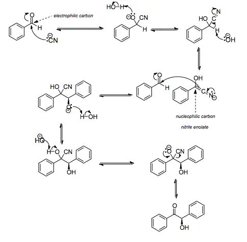
Reaction mechanism
The reaction is catalyzed by nucleophiles such as a cyanide or an N-heterocyclic carbene (usually thiazolium salts). The reaction mechanism was proposed in 1903 by A. J. Lapworth.[7] In the first step in this reaction, the cyanide anion (as sodium cyanide) reacts with the aldehyde in a nucleophilic addition. Rearrangement of the intermediate results in polarity reversal of the carbonyl group, which then adds to the second carbonyl group in a second nucleophilic addition. Proton transfer and elimination of the cyanide ion affords benzoin as the product. This is a reversible reaction, which means that the distribution of products is determined by the relative thermodynamic stability of the products and starting material.

In this reaction, one aldehyde donates a proton and one aldehyde accepts a proton. Some aldehydes can only donate protons, such as 4-dimethylaminobenzaldehyde, whereas benzaldehyde is both a proton acceptor and donor. In this way it is possible to synthesise mixed benzoins, i.e. products with different groups on each half of the product. However, care should be taken to match a proton donating aldehyde with a proton accepting aldehyde to avoid undesired homo-dimerization.
Scope
The reaction can be extended to aliphatic aldehydes with base catalysis in the presence of thiazolium salts; the reaction mechanism is essentially the same. These compounds are important in the synthesis of heterocyclic compounds. The analogous 1,4-addition of an aldehyde to an enone is called the Stetter reaction.
In biochemistry, the coenzyme thiamine is responsible for biosynthesis of acyloin-like compounds utilizing the benzoin addition. This coenzyme also contains a thiazolium moiety, which on deprotonation becomes a nucleophilic carbene.
The asymmetric version of this reaction has been performed by utilizing chiral thiazolium and triazolium salts. Triazolium salts were found to give greater enantiomeric excess than thiazolium salts.[8] An example is shown below.[9]

Since the products of the reaction are thermodynamically controlled, the retro benzoin addition can be synthetically useful. If a benzoin or acyloin can be synthesized by another method, then they can be converted into the component ketones using cyanide or thiazolium catalysts. The reaction mechanism is the same as above, but it occurs in the reverse direction. This can allow the access of ketones otherwise difficult to produce.
See also
References
- ↑ Menon, Rajeev S.; Biju, Akkattu T.; Nair, Vijay (2016). "Recent advances in N-heterocyclic carbene (NHC)-catalysed benzoin reactions". Beilstein Journal of Organic Chemistry. 12: 444–461. doi:10.3762/bjoc.12.47. PMC 4901930. PMID 27340440.
- ↑ Enders, Dieter; Niemeier, Oliver; Henseler, Alexander (2007). "Organocatalysis by N-Heterocyclic Carbenes". Chemical Reviews. 107 (12): 5606–5655. doi:10.1021/cr068372z. PMID 17956132.
- ↑ Roger Adams; C. S. Marvel (1921). "Benzoin". Organic Syntheses. 1: 33. doi:10.15227/orgsyn.001.0033.
- ↑ F. Wöhler, J. Liebig (1832). "Untersuchungen über das Radikal der Benzoesäure" [Studies on the radicals of benzoic acid]. Annalen der Pharmacie (in German). 3 (3): 249–282. doi:10.1002/jlac.18320030302. hdl:2027/hvd.hxdg3f.
- ↑ N. Zinin (1839). "Beiträge zur Kenntniss einiger Verbindungen aus der Benzoylreihe" [Contributions to the knowledge of some compounds from the benzoyl series]. Annalen der Pharmacie (in German). 31 (3): 329–332. doi:10.1002/jlac.18390310312. Archived from the original on 2022-07-09. Retrieved 2020-09-11.
- ↑ N. Zinin (1840). "Ueber einige Zersetzungsprodukte des Bittermandelöls" [Study of some decomposition products of bitter almond oil]. Annalen der Pharmacie (in German). 34 (2): 186–192. doi:10.1002/jlac.18400340205. Archived from the original on 2022-07-09. Retrieved 2019-06-28.
- ↑ Lapworth, A. (1904). "CXXII.—Reactions involving the addition of hydrogen cyanide to carbon compounds. Part II. Cyanohydrins regarded as complex acids". Journal of the Chemical Society, Transactions. 85: 1206–1214. doi:10.1039/CT9048501206. Archived from the original on 2022-07-09. Retrieved 2019-06-28.
- ↑ Knight, Roland; Leeper, F. (1998). "Comparison of chiral thiazolium and triazolium salts as asymmetric catalysts for the benzoin addition". J. Chem. Soc., Perkin Trans. 1 (12): 1891–1894. doi:10.1039/A803635G.
- ↑ D. Enders, O. Niemeier & T. Balensiefer (2006). "Asymmetric Intramolecular Crossed-Benzoin Reactions by N-Heterocyclic Carbene Catalysis". Angewandte Chemie International Edition. 45 (9): 1463–1467. doi:10.1002/anie.200503885. PMID 16389609.
External links
Media related to animation of the Benzoin condensation reaction mechanism at Wikimedia Commons