![]() | |
| Names | |
|---|---|
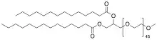
| IUPAC name
1,2-Dimyristoyl-sn-glycero-3-methoxypolyethylene glycol | |
| Other names
PEG-DMG | |
| Identifiers | |
3D model (JSmol) |
|
| |
| |
| Properties | |
| C122H242O50 | |
Except where otherwise noted, data are given for materials in their standard state (at 25 °C [77 °F], 100 kPa).
Infobox references | |
DMG-PEG 2000 is a synthetic lipid formed by the PEGylation of myristoyl diglyceride. It is used to manufacture lipid nanoparticles that are used in mRNA vaccines,[1] and in particular forms part of the drug delivery system for the Moderna COVID-19 vaccine.[2]
See also
- Moderna COVID-19 vaccine nanoparticle ingredients
References
- ↑ Shirane D, Tanaka H, Nakai Y, Yoshioka H, Akita H (2018). "Development of an Alcohol Dilution-Lyophilization Method for Preparing Lipid Nanoparticles Containing Encapsulated siRNA". Biological & Pharmaceutical Bulletin. 41 (8): 1291–1294. doi:10.1248/bpb.b18-00208. PMID 30068880.
- ↑ "Moderna COVID-19 Vaccine Standing Orders for Administering Vaccine to Persons 18 Years of Age and Older" (PDF). Centers for Disease Control and Prevention (CDC).
This article is issued from Wikipedia. The text is licensed under Creative Commons - Attribution - Sharealike. Additional terms may apply for the media files.
