Energy-level diagram showing the states involved in Raman spectra.

Raman spectroscopy (/ˈrɑːmən/) (named after physicist C. V. Raman) is a spectroscopic technique typically used to determine vibrational modes of molecules, although rotational and other low-frequency modes of systems may also be observed.[1] Raman spectroscopy is commonly used in chemistry to provide a structural fingerprint by which molecules can be identified.

Raman spectroscopy relies upon inelastic scattering of photons, known as Raman scattering. A source of monochromatic light, usually from a laser in the visible, near infrared, or near ultraviolet range is used, although X-rays can also be used. The laser light interacts with molecular vibrations, phonons or other excitations in the system, resulting in the energy of the laser photons being shifted up or down. The shift in energy gives information about the vibrational modes in the system. Infrared spectroscopy typically yields similar yet complementary information.

Typically, a sample is illuminated with a laser beam. Electromagnetic radiation from the illuminated spot is collected with a lens and sent through a monochromator. Elastic scattered radiation at the wavelength corresponding to the laser line (Rayleigh scattering) is filtered out by either a notch filter, edge pass filter, or a band pass filter, while the rest of the collected light is dispersed onto a detector.

Spontaneous Raman scattering is typically very weak; as a result, for many years the main difficulty in collecting Raman spectra was separating the weak inelastically scattered light from the intense Rayleigh scattered laser light (referred to as "laser rejection"). Historically, Raman spectrometers used holographic gratings and multiple dispersion stages to achieve a high degree of laser rejection. In the past, photomultipliers were the detectors of choice for dispersive Raman setups, which resulted in long acquisition times. However, modern instrumentation almost universally employs notch or edge filters for laser rejection. Dispersive single-stage spectrographs (axial transmissive (AT) or Czerny–Turner (CT) monochromators) paired with CCD detectors are most common although Fourier transform (FT) spectrometers are also common for use with NIR lasers.

The name "Raman spectroscopy" typically refers to vibrational Raman using laser wavelengths which are not absorbed by the sample. There are many other variations of Raman spectroscopy including surface-enhanced Raman, resonance Raman, tip-enhanced Raman, polarized Raman, stimulated Raman, transmission Raman, spatially-offset Raman, and hyper Raman.

History

Although the inelastic scattering of light was predicted by Adolf Smekal in 1923,[2] it was not observed in practice until 1928. The Raman effect was named after one of its discoverers, the Indian scientist C. V. Raman, who observed the effect in organic liquids in 1928 together with K. S. Krishnan, and independently by Grigory Landsberg and Leonid Mandelstam in inorganic crystals.[1] Raman won the Nobel Prize in Physics in 1930 for this discovery. The first observation of Raman spectra in gases was in 1929 by Franco Rasetti.[3][4]

Systematic pioneering theory of the Raman effect was developed by Czechoslovak physicist George Placzek between 1930 and 1934.[5] The mercury arc became the principal light source, first with photographic detection and then with spectrophotometric detection.

In the years following its discovery, Raman spectroscopy was used to provide the first catalog of molecular vibrational frequencies. Typically, the sample was held in a long tube and illuminated along its length with a beam of filtered monochromatic light generated by a gas discharge lamp. The photons that were scattered by the sample were collected through an optical flat at the end of the tube. To maximize the sensitivity, the sample was highly concentrated (1 M or more) and relatively large volumes (5 mL or more) were used.

Theory

The magnitude of the Raman effect correlates with polarizability of the electrons in a molecule. It is a form of inelastic light scattering, where a photon excites the sample. This excitation puts the molecule into a virtual energy state for a short time before the photon is emitted. Inelastic scattering means that the energy of the emitted photon is of either lower or higher energy than the incident photon. After the scattering event, the sample is in a different rotational or vibrational state.

For the total energy of the system to remain constant after the molecule moves to a new rovibronic (rotational–vibrational–electronic) state, the scattered photon shifts to a different energy, and therefore a different frequency. This energy difference is equal to that between the initial and final rovibronic states of the molecule. If the final state is higher in energy than the initial state, the scattered photon will be shifted to a lower frequency (lower energy) so that the total energy remains the same. This shift in frequency is called a Stokes shift, or downshift. If the final state is lower in energy, the scattered photon will be shifted to a higher frequency, which is called an anti-Stokes shift, or upshift.

For a molecule to exhibit a Raman effect, there must be a change in its electric dipole-electric dipole polarizability with respect to the vibrational coordinate corresponding to the rovibronic state. The intensity of the Raman scattering is proportional to this polarizability change. Therefore, the Raman spectrum (scattering intensity as a function of the frequency shifts) depends on the rovibronic states of the molecule.

The Raman effect is based on the interaction between the electron cloud of a sample and the external electric field of the monochromatic light, which can create an induced dipole moment within the molecule based on its polarizability. Because the laser light does not excite the molecule there can be no real transition between energy levels.[6] The Raman effect should not be confused with emission (fluorescence or phosphorescence), where a molecule in an excited electronic state emits a photon and returns to the ground electronic state, in many cases to a vibrationally excited state on the ground electronic state potential energy surface. Raman scattering also contrasts with infrared (IR) absorption, where the energy of the absorbed photon matches the difference in energy between the initial and final rovibronic states. The dependence of Raman on the electric dipole-electric dipole polarizability derivative also differs from IR spectroscopy, which depends on the electric dipole moment derivative, the atomic polar tensor (APT). This contrasting feature allows rovibronic transitions that might not be active in IR to be analyzed using Raman spectroscopy, as exemplified by the rule of mutual exclusion in centrosymmetric molecules. Transitions which have large Raman intensities often have weak IR intensities and vice versa. If a bond is strongly polarized, a small change in its length such as that which occurs during a vibration has only a small resultant effect on polarization. Vibrations involving polar bonds (e.g. C-O , N-O , O-H) are therefore, comparatively weak Raman scatterers. Such polarized bonds, however, carry their electrical charges during the vibrational motion, (unless neutralized by symmetry factors), and this results in a larger net dipole moment change during the vibration, producing a strong IR absorption band. Conversely, relatively neutral bonds (e.g. C-C , C-H , C=C) suffer large changes in polarizability during a vibration. However, the dipole moment is not similarly affected such that while vibrations involving predominantly this type of bond are strong Raman scatterers, they are weak in the IR. A third vibrational spectroscopy technique, inelastic incoherent neutron scattering (IINS), can be used to determine the frequencies of vibrations in highly symmetric molecules that may be both IR and Raman inactive. The IINS selection rules, or allowed transitions, differ from those of IR and Raman, so the three techniques are complementary. They all give the same frequency for a given vibrational transition, but the relative intensities provide different information due to the different types of interaction between the molecule and the incoming particles, photons for IR and Raman, and neutrons for IINS.

Raman shift

Raman shifts are typically reported in wavenumbers, which have units of inverse length, as this value is directly related to energy. In order to convert between spectral wavelength and wavenumbers of shift in the Raman spectrum, the following formula can be used:

where Δν̃ is the Raman shift expressed in wavenumber, λ0 is the excitation wavelength, and λ1 is the Raman spectrum wavelength. Most commonly, the unit chosen for expressing wavenumber in Raman spectra is inverse centimeters (cm−1). Since wavelength is often expressed in units of nanometers (nm), the formula above can scale for this unit conversion explicitly, giving

Instrumentation

An early Raman spectrum of benzene published by Raman and Krishnan.[7]
Schematic of one possible dispersive Raman spectroscopy setup.[8]

Modern Raman spectroscopy nearly always involves the use of lasers as excitation light sources. Because lasers were not available until more than three decades after the discovery of the effect, Raman and Krishnan used a mercury lamp and photographic plates to record spectra. Early spectra took hours or even days to acquire due to weak light sources, poor sensitivity of the detectors and the weak Raman scattering cross-sections of most materials. Various colored filters and chemical solutions were used to select certain wavelength regions for excitation and detection but the photographic spectra were still dominated by a broad center line corresponding to Rayleigh scattering of the excitation source.[9]

Technological advances have made Raman spectroscopy much more sensitive, particularly since the 1980s. The most common modern detectors are now charge-coupled devices (CCDs). Photodiode arrays and photomultiplier tubes were common prior to the adoption of CCDs. The advent of reliable, stable, inexpensive lasers with narrow bandwidths has also had an impact.[10]

Lasers

Raman spectroscopy requires a light source such as a laser. The resolution of the spectrum relies on the bandwidth of the laser source used.[11] Generally shorter wavelength lasers give stronger Raman scattering due to the ν4 increase in Raman scattering cross-sections, but issues with sample degradation or fluorescence may result.[10]

Continuous wave lasers are most common for normal Raman spectroscopy, but pulsed lasers may also be used. These often have wider bandwidths than their CW counterparts but are very useful for other forms of Raman spectroscopy such as transient, time-resolved and resonance Raman.[11][12]

Detectors

Raman scattered light is typically collected and either dispersed by a spectrograph or used with an interferometer for detection by Fourier Transform (FT) methods. In many cases commercially available FT-IR spectrometers can be modified to become FT-Raman spectrometers.[10]

Detectors for dispersive Raman

In most cases, modern Raman spectrometers use array detectors such as CCDs. Various types of CCDs exist which are optimized for different wavelength ranges. Intensified CCDs can be used for very weak signals and/or pulsed lasers.[10][13] The spectral range depends on the size of the CCD and the focal length of spectrograph used.[14]

It was once common to use monochromators coupled to photomultiplier tubes. In this case the monochromator would need to be moved in order to scan through a spectral range.[10]

Detectors for FT–Raman

FT–Raman is almost always used with NIR lasers and appropriate detectors must be used depending on the exciting wavelength. Germanium or Indium gallium arsenide (InGaAs) detectors are commonly used.[10]

Filters

It is usually necessary to separate the Raman scattered light from the Rayleigh signal and reflected laser signal in order to collect high quality Raman spectra using a laser rejection filter. Notch or long-pass optical filters are typically used for this purpose. Before the advent of holographic filters it was common to use a triple-grating monochromator in subtractive mode to isolate the desired signal.[10] This may still be used to record very small Raman shifts as holographic filters typically reflect some of the low frequency bands in addition to the unshifted laser light. However, Volume hologram filters are becoming more common which allow shifts as low as 5 cm−1 to be observed.[15][16][17]

Applications

Raman spectroscopy is used in chemistry to identify molecules and study chemical bonding and intramolecular bonds. Because vibrational frequencies are specific to a molecule's chemical bonds and symmetry (the fingerprint region of organic molecules is in the wavenumber range 500–1,500 cm−1),[18] Raman provides a fingerprint to identify molecules. For instance, Raman and IR spectra were used to determine the vibrational frequencies of SiO, Si2O2, and Si3O3 on the basis of normal coordinate analyses.[19] Raman is also used to study the addition of a substrate to an enzyme.

In solid-state physics, Raman spectroscopy is used to characterize materials, measure temperature, and find the crystallographic orientation of a sample. As with single molecules, a solid material can be identified by characteristic phonon modes. Information on the population of a phonon mode is given by the ratio of the Stokes and anti-Stokes intensity of the spontaneous Raman signal. Raman spectroscopy can also be used to observe other low frequency excitations of a solid, such as plasmons, magnons, and superconducting gap excitations. Distributed temperature sensing (DTS) uses the Raman-shifted backscatter from laser pulses to determine the temperature along optical fibers. The orientation of an anisotropic crystal can be found from the polarization of Raman-scattered light with respect to the crystal and the polarization of the laser light, if the crystal structure’s point group is known.

Raman microscope at the Chemistry Department Shared Instrumentation Facility (NYU).

In nanotechnology, a Raman microscope can be used to analyze nanowires to better understand their structures, and the radial breathing mode of carbon nanotubes is commonly used to evaluate their diameter.

Raman active fibers, such as aramid and carbon, have vibrational modes that show a shift in Raman frequency with applied stress. Polypropylene fibers exhibit similar shifts.

In solid state chemistry and the bio-pharmaceutical industry, Raman spectroscopy can be used to not only identify active pharmaceutical ingredients (APIs), but to identify their polymorphic forms, if more than one exist. For example, the drug Cayston (aztreonam), marketed by Gilead Sciences for cystic fibrosis,[20] can be identified and characterized by IR and Raman spectroscopy. Using the correct polymorphic form in bio-pharmaceutical formulations is critical, since different forms have different physical properties, like solubility and melting point.

Raman spectroscopy has a wide variety of applications in biology and medicine. It has helped confirm the existence of low-frequency phonons[21] in proteins and DNA,[22][23][24][25] promoting studies of low-frequency collective motion in proteins and DNA and their biological functions.[26][27] Raman reporter molecules with olefin or alkyne moieties are being developed for tissue imaging with SERS-labeled antibodies.[28] Raman spectroscopy has also been used as a noninvasive technique for real-time, in situ biochemical characterization of wounds. Multivariate analysis of Raman spectra has enabled development of a quantitative measure for wound healing progress.[29] Spatially offset Raman spectroscopy (SORS), which is less sensitive to surface layers than conventional Raman, can be used to discover counterfeit drugs without opening their packaging, and to non-invasively study biological tissue.[30] A reason why Raman spectroscopy is useful in biological applications is because its results often do not face interference from water molecules, due to the fact that they have permanent dipole moments, and as a result, the Raman scattering cannot be picked up on. This is a large advantage, specifically in biological applications.[31] Raman spectroscopy also has a wide usage for studying biominerals.[32] Lastly, Raman gas analyzers have many practical applications, including real-time monitoring of anesthetic and respiratory gas mixtures during surgery.

Raman spectroscopy has been used in several research projects as a means to detect explosives from a safe distance using laser beams.[33][34][35]

Raman Spectroscopy is being further developed so it could be used in the clinical setting. Raman4Clinic is a European organization that is working on incorporating Raman Spectroscopy techniques in the medical field. They are currently working on different projects, one of them being monitoring cancer using bodily fluids such as urine and blood samples which are easily accessible. This technique would be less stressful on the patients than constantly having to take biopsies which are not always risk free.[36]

Art and cultural heritage

Raman spectroscopy is an efficient and non-destructive way to investigate works of art and cultural heritage artifacts, in part because it is a non-invasive process which can be applied in situ.[37] It can be used to analyze the corrosion products on the surfaces of artifacts (statues, pottery, etc.), which can lend insight into the corrosive environments experienced by the artifacts. The resulting spectra can also be compared to the spectra of surfaces that are cleaned or intentionally corroded, which can aid in determining the authenticity of valuable historical artifacts.[38]

It is capable of identifying individual pigments in paintings and their degradation products, which can provide insight into the working method of an artist in addition to aiding in authentication of paintings.[39] It also gives information about the original state of the painting in cases where the pigments have degraded with age.[40] Beyond the identification of pigments, extensive Raman microspectroscopic imaging has been shown to provide access to a plethora of trace compounds in Early Medieval Egyptian blue, which enable to reconstruct the individual "biography" of a colourant, including information on the type and provenance of the raw materials, synthesis and application of the pigment, and the ageing of the paint layer.[41]

In addition to paintings and artifacts, Raman spectroscopy can be used to investigate the chemical composition of historical documents (such as the Book of Kells), which can provide insight about the social and economic conditions when they were created.[42] It also offers a noninvasive way to determine the best method of preservation or conservation of such cultural heritage artifacts, by providing insight into the causes behind deterioration.[43]

The IRUG (Infrared and Raman Users Group) Spectral Database[44] is a rigorously peer-reviewed online database of IR and Raman reference spectra for cultural heritage materials such as works of art, architecture, and archaeological artifacts. The database is open for the general public to peruse, and includes interactive spectra for over a hundred different types of pigments and paints.

Microspectroscopy

Hyperspectral Raman imaging can provide distribution maps of chemical compounds and material properties: Example of an unhydrated clinker remnant in a 19th-century cement mortar (cement chemist's nomenclature: C ≙ CaO, A ≙ Al2O3, S ≙ SiO2, F ≙ Fe2O3).[8]

Raman spectroscopy offers several advantages for microscopic analysis. Since it is a light scattering technique, specimens do not need to be fixed or sectioned. Raman spectra can be collected from a very small volume (< 1 µm in diameter, < 10 µm in depth); these spectra allow the identification of species present in that volume.[45] Water does not generally interfere with Raman spectral analysis. Thus, Raman spectroscopy is suitable for the microscopic examination of minerals, materials such as polymers and ceramics, cells, proteins and forensic trace evidence. A Raman microscope begins with a standard optical microscope, and adds an excitation laser, a monochromator or polychromator, and a sensitive detector (such as a charge-coupled device (CCD), or photomultiplier tube (PMT)). FT-Raman has also been used with microscopes, typically in combination with near-infrared (NIR) laser excitation. Ultraviolet microscopes and UV enhanced optics must be used when a UV laser source is used for Raman microspectroscopy.

In direct imaging (also termed global imaging[46] or wide-field illumination), the whole field of view is examined for light scattering integrated over a small range of wavenumbers (Raman shifts).[47] For instance, a wavenumber characteristic for cholesterol could be used to record the distribution of cholesterol within a cell culture. This technique is being used for the characterization of large-scale devices, mapping of different compounds and dynamics study. It has already been used for the characterization of graphene layers,[48] J-aggregated dyes inside carbon nanotubes[49] and multiple other 2D materials such as MoS2 and WSe2. Since the excitation beam is dispersed over the whole field of view, those measurements can be done without damaging the sample.

The most common approach is hyperspectral imaging or chemical imaging, in which thousands of Raman spectra are acquired from all over the field of view by, for example, raster scanning of a focused laser beam through a sample.[47] The data can be used to generate images showing the location and amount of different components. Having the full spectroscopic information available in every measurement spot has the advantage that several components can be mapped at the same time, including chemically similar and even polymorphic forms, which cannot be distinguished by detecting only one single wavenumber. Furthermore, material properties such as stress and strain, crystal orientation, crystallinity and incorporation of foreign ions into crystal lattices (e.g., doping, solid solution series) can be determined from hyperspectral maps.[8] Taking the cell culture example, a hyperspectral image could show the distribution of cholesterol, as well as proteins, nucleic acids, and fatty acids. Sophisticated signal- and image-processing techniques can be used to ignore the presence of water, culture media, buffers, and other interferences.

Because a Raman microscope is a diffraction-limited system, its spatial resolution depends on the wavelength of light, the numerical aperture of the focusing element, and — in the case of confocal microscopy — on the diameter of the confocal aperture. When operated in the visible to near-infrared range, a Raman microscope can achieve lateral resolutions of approx. 1 µm down to 250 nm, depending on the wavelength and type of objective lens (e.g., air vs. water or oil immersion lenses). The depth resolution (if not limited by the optical penetration depth of the sample) can range from 1–6 µm with the smallest confocal pinhole aperture to tens of micrometers when operated without a confocal pinhole.[50][51][52][45] Depending on the sample, the high laser power density due to microscopic focussing can have the benefit of enhanced photobleaching of molecules emitting interfering fluorescence. However, the laser wavelength and laser power have to be carefully selected for each type of sample to avoid its degradation.

Applications of Raman imaging range from materials sciences to biological studies.[45][53] For each type of sample, the measurement parameters have to be individually optimized. For that reason, modern Raman microscopes are often equipped with several lasers offering different wavelengths, a set of objective lenses, and neutral density filters for tuning of the laser power reaching the sample. Selection of the laser wavelength mainly depends on optical properties of the sample and on the aim of the investigation.[54] For example, Raman microscopy of biological and medical specimens is often performed using red to near-infrared excitation (e.g., 785 nm, or 1,064 nm wavelength). Due to typically low absorbances of biological samples in this spectral range, the risk of damaging the specimen as well as autofluorescence emission are reduced, and high penetration depths into tissues can be achieved.[55][56][57][58] However, the intensity of Raman scattering at long wavelengths is low (owing to the ω4 dependence of Raman scattering intensity), leading to long acquisition times. On the other hand, resonance Raman imaging of single-cell algae at 532 nm (green) can specifically probe the carotenoid distribution within a cell by a using low laser power of ~5 µW and only 100 ms acquisition time.[59]

Raman scattering, specifically tip-enhanced Raman spectroscopy, produces high resolution hyperspectral images of single molecules,[60] atoms,[61] and DNA.[62]

Polarization dependence of Raman scattering

Raman scattering is polarization sensitive and can provide detailed information on symmetry of Raman active modes. While conventional Raman spectroscopy identifies chemical composition, polarization effects on Raman spectra can reveal information on the orientation of molecules in single crystals and anisotropic materials, e.g. strained plastic sheets, as well as the symmetry of vibrational modes.

Polarization–dependent Raman spectroscopy uses (plane) polarized laser excitation from a polarizer. The Raman scattered light collected is passed through a second polarizer (called the analyzer) before entering the detector. The analyzer is oriented either parallel or perpendicular to the polarization of the laser. Spectra acquired with the analyzer set at both perpendicular and parallel to the excitation plane can be used to calculate the depolarization ratio. Typically a polarization scrambler is placed between the analyzer and detector also. It is convenient in polarized Raman spectroscopy to describe the propagation and polarization directions using Porto's notation,[63] described by and named after Brazilian physicist Sergio Pereira da Silva Porto.

For isotropic solutions, the Raman scattering from each mode either retains the polarization of the laser or becomes partly or fully depolarized. If the vibrational mode involved in the Raman scattering process is totally symmetric then the polarization of the Raman scattering will be the same as that of the incoming laser beam. In the case that the vibrational mode is not totally symmetric then the polarization will be lost (scrambled) partially or totally, which is referred to as depolarization. Hence polarized Raman spectroscopy can provide detailed information as to the symmetry labels of vibrational modes.

In the solid state, polarized Raman spectroscopy can be useful in the study of oriented samples such as single crystals. The polarizability of a vibrational mode is not equal along and across the bond. Therefore the intensity of the Raman scattering will be different when the laser's polarization is along and orthogonal to a particular bond axis. This effect can provide information on the orientation of molecules with a single crystal or material. The spectral information arising from this analysis is often used to understand macro-molecular orientation in crystal lattices, liquid crystals or polymer samples.[64]

Characterization of the symmetry of a vibrational mode

The polarization technique is useful in understanding the connections between molecular symmetry, Raman activity, and peaks in the corresponding Raman spectra.[65] Polarized light in one direction only gives access to some Raman–active modes, but rotating the polarization gives access to other modes. Each mode is separated according to its symmetry.[66]

The symmetry of a vibrational mode is deduced from the depolarization ratio ρ, which is the ratio of the Raman scattering with polarization orthogonal to the incident laser and the Raman scattering with the same polarization as the incident laser: Here is the intensity of Raman scattering when the analyzer is rotated 90 degrees with respect to the incident light's polarization axis, and the intensity of Raman scattering when the analyzer is aligned with the polarization of the incident laser.[67] When polarized light interacts with a molecule, it distorts the molecule which induces an equal and opposite effect in the plane-wave, causing it to be rotated by the difference between the orientation of the molecule and the angle of polarization of the light wave. If , then the vibrations at that frequency are depolarized; meaning they are not totally symmetric.[68][67]

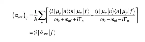
Raman Excitation Profile Analysis

Resonance Raman selection rules can be explained by the Kramers-Heisenberg-Dirac (KHD) equation using the Albrecht A and B terms, as demonstrated.[69] The KHD expression is conveniently linked to the polarizability of the molecule within its frame of reference.[70]

Kramers-Heisenberg-Dirac
Kramers-Heisenberg-Dirac[70]

The polarizability operator connecting the initial and final states expresses the transition polarizability as a matrix element, as a function of the incidence frequency ω0.[70] The directions x, y, and z in the molecular frame are represented by the Cartesian tensor ρ and σ here. Analyzing Raman excitation patterns requires the use of this equation, which is a sum-over-states expression for polarizability. This series of profiles illustrates the connection between a Raman active vibration's excitation frequency and intensity.[70]

This method takes into account sums over Franck-Condon's active vibrational states and provides insight into electronic absorption and emission spectra. Nevertheless, the work highlights a flaw in the sum-over-states method, especially for large molecules like visible chromophores, which are commonly studied in Raman spectroscopy.[70] The difficulty arises from the potentially infinite number of intermediary steps needed. While lowering the sum at higher vibrational states can help tiny molecules get over this issue, larger molecules find it more challenging when there are more terms in the sum, particularly in the condensed phase when individual eigenstates cannot be resolved spectrally.[70]

To overcome this, two substitute techniques that do not require adding eigenstates can be considered. Among these two methods are available: the transform method.[71][72][73] and Heller's time-dependent approach.[74][75][76][77] The goal of both approaches is to take into consideration the frequency-dependent Raman cross-section σR0) of a particular normal mode.[70]

Variants

At least 25 variations of Raman spectroscopy have been developed.[9] The usual purpose is to enhance the sensitivity (e.g., surface-enhanced Raman), to improve the spatial resolution (Raman microscopy), or to acquire very specific information (resonance Raman).

Spontaneous (or far-field) Raman spectroscopy

Correlative Raman imaging: Comparison of topographical (AFM, top) and Raman images of GaSe. Scale bar is 5 μm.[78]

Terms such as spontaneous Raman spectroscopy or normal Raman spectroscopy summarize Raman spectroscopy techniques based on Raman scattering by using normal far-field optics as described above. Variants of normal Raman spectroscopy exist with respect to excitation-detection geometries, combination with other techniques, use of special (polarizing) optics and specific choice of excitation wavelengths for resonance enhancement.

  • Correlative Raman imaging – Raman microscopy can be combined with complementary imaging methods, such as atomic force microscopy (Raman-AFM) and scanning electron microscopy (Raman-SEM) to compare Raman distribution maps with (or overlay them onto) topographical or morphological images, and to correlate Raman spectra with complementary physical or chemical information (e.g., gained by SEM-EDX).
  • Resonance Raman spectroscopy – The excitation wavelength is matched to an electronic transition of the molecule or crystal, so that vibrational modes associated with the excited electronic state are greatly enhanced. This is useful for studying large molecules such as polypeptides, which might show hundreds of bands in "conventional" Raman spectra. It is also useful for associating normal modes with their observed frequency shifts.[79]
  • Angle-resolved Raman spectroscopy – Not only are standard Raman results recorded but also the angle with respect to the incident laser. If the orientation of the sample is known then detailed information about the phonon dispersion relation can also be gleaned from a single test.[80]
  • Optical tweezers Raman spectroscopy (OTRS) – Used to study individual particles, and even biochemical processes in single cells trapped by optical tweezers.[81][82][83]
  • Spatially offset Raman spectroscopy (SORS) – The Raman scattering beneath an obscuring surface is retrieved from a scaled subtraction of two spectra taken at two spatially offset points.
  • Raman optical activity (ROA) – Measures vibrational optical activity by means of a small difference in the intensity of Raman scattering from chiral molecules in right- and left-circularly polarized incident light or, equivalently, a small circularly polarized component in the scattered light.[84]
  • Transmission Raman – Allows probing of a significant bulk of a turbid material, such as powders, capsules, living tissue, etc. It was largely ignored following investigations in the late 1960s (Schrader and Bergmann, 1967)[85] but was rediscovered in 2006 as a means of rapid assay of pharmaceutical dosage forms.[86] There are medical diagnostic applications particularly in the detection of cancer.[35][87][88]
  • Micro-cavity substrates – A method that improves the detection limit of conventional Raman spectra using micro-Raman in a micro-cavity coated with reflective Au or Ag. The micro-cavity has a radius of several micrometers and enhances the entire Raman signal by providing multiple excitations of the sample and couples the forward-scattered Raman photons toward the collection optics in the back-scattered Raman geometry.[89]
  • Stand-off remote Raman – In standoff Raman, the sample is measured at a distance from the Raman spectrometer, usually by using a telescope for light collection. Remote Raman spectroscopy was proposed in the 1960s[90] and initially developed for the measurement of atmospheric gases.[91] The technique was extended In 1992 by Angel et al. for standoff Raman detection of hazardous inorganic and organic compounds.[92]
  • X-ray Raman scattering – Measures electronic transitions rather than vibrations.[93]

Enhanced (or near-field) Raman spectroscopy

Enhancement of Raman scattering is achieved by local electric-field enhancement by optical near-field effects (e.g. localized surface plasmons).

  • Surface-enhanced Raman spectroscopy (SERS) – Normally done in a silver or gold colloid or a substrate containing silver or gold. Surface plasmons of silver and gold are excited by the laser, resulting in an increase in the electric fields surrounding the metal. Given that Raman intensities are proportional to the electric field, there is large increase in the measured signal (by up to 1011). This effect was originally observed by Martin Fleischmann but the prevailing explanation was proposed by Van Duyne in 1977.[94] A comprehensive theory of the effect was given by Lombardi and Birke.[95]
  • Surface-enhanced resonance Raman spectroscopy (SERRS) – A combination of SERS and resonance Raman spectroscopy that uses proximity to a surface to increase Raman intensity, and excitation wavelength matched to the maximum absorbance of the molecule being analysed.
  • Tip-enhanced Raman spectroscopy (TERS) – TERS combines the chemical sensitivity of SERS with the high spatial resolution of scanning probe microscopy techniques, enabling chemical imaging of surfaces at the nanometre length-scale with high detection sensitivity.[96] It uses a metallic (usually silver-/gold-coated AFM or STM) tip to enhance the Raman signals of molecules situated in its vicinity. The spatial resolution is approximately the size of the tip apex (20–30 nm). TERS has been shown to have sensitivity down to the single molecule level [97][98][99][100] and holds some promise for bioanalysis applications [101] and DNA sequencing.[62] TERS was used to image the vibrational normal modes of single molecules.[102]
  • Surface plasmon polariton enhanced Raman scattering (SPPERS) – This approach exploits apertureless metallic conical tips for near field excitation of molecules. This technique differs from the TERS approach due to its inherent capability of suppressing the background field. In fact, when an appropriate laser source impinges on the base of the cone, a TM0 mode[103] (polaritonic mode) can be locally created, namely far away from the excitation spot (apex of the tip). The mode can propagate along the tip without producing any radiation field up to the tip apex where it interacts with the molecule. In this way, the focal plane is separated from the excitation plane by a distance given by the tip length, and no background plays any role in the Raman excitation of the molecule.[104][105][106][107]

Non-linear Raman spectroscopy

Raman signal enhancements are achieved through non-linear optical effects, typically realized by mixing two or more wavelengths emitted by spatially and temporally synchronized pulsed lasers.

  • Hyper Raman – A non-linear effect in which the vibrational modes interact with the second harmonic of the excitation beam. This requires very high power, but allows the observation of vibrational modes that are normally "silent". It frequently relies on SERS-type enhancement to boost the sensitivity.[108]
  • Stimulated Raman spectroscopy (SRS) – A pump-probe technique, where a spatially coincident, two color pulse (with polarization either parallel or perpendicular) transfers the population from ground to a rovibrationally excited state. If the difference in energy corresponds to an allowed Raman transition, scattered light will correspond to loss or gain in the pump beam.
  • Inverse Raman spectroscopy – A synonym for stimulated Raman loss spectroscopy.
  • Coherent anti-Stokes Raman spectroscopy (CARS) – Two laser beams are used to generate a coherent anti-Stokes frequency beam, which can be enhanced by resonance.

Morphologically-Directed Raman spectroscopy

Morphologically Directed Raman Spectroscopy (MDRS) combines automated particle imaging and Raman microspectroscopy into a singular integrated platform in order to provide particle size, shape, and chemical identification.[109][110][111] Automated particle imaging determines the particle size and shape distributions of components within a blended sample from images of individual particles.[110][111] The information gathered from automated particle imaging is then utilized to direct the Raman spectroscopic analysis.[109] The Raman spectroscopic analytical process is performed on a randomly-selected subset of the particles, allowing chemical identification of the sample’s multiple components.[109] Tens of thousands of particles can be imaged in a matter of minutes using the MDRS method, making the process ideal for forensic analysis and investigating counterfeit pharmaceuticals and subsequent adjudications.[110][111]

References

  1. 1 2 Gardiner, D.J. (1989). Practical Raman spectroscopy. Springer-Verlag. ISBN 978-0-387-50254-0.
  2. Smekal, A. (1923). "Zur Quantentheorie der Dispersion". Die Naturwissenschaften. 11 (43): 873–875. Bibcode:1923NW.....11..873S. doi:10.1007/BF01576902. S2CID 20086350.
  3. Caltech oral history interview by Judith R. Goodstein, 4 February 1982
  4. Battimelli, Giovanni (December 2002). "Obituary: Franco Rasetti". Physics Today. 55 (12): 76–78. Bibcode:2002PhT....55l..76B. doi:10.1063/1.1537927.
  5. Placzek, G (1934). "Rayleigh-Streuung und Raman-Effekt". Handbuch der Radiologie (in German). Vol. 6, 2. Leipzig: Akademische Verlagsgesellschaft. p. 209.
  6. Hammes, Gordon G. (2005). Spectroscopy for the biological sciences. Wiley. ISBN 9780471733546. OCLC 850776164.
  7. K. S. Krishnan; Raman, C. V. (1928). "The Negative Absorption of Radiation". Nature. 122 (3062): 12–13. Bibcode:1928Natur.122...12R. doi:10.1038/122012b0. ISSN 1476-4687. S2CID 4071281.
  8. 1 2 3 Thomas Schmid; Petra Dariz (2019). "Raman Microspectroscopic Imaging of Binder Remnants in Historical Mortars Reveals Processing Conditions". Heritage. 2 (2): 1662–1683. doi:10.3390/heritage2020102. ISSN 2571-9408.
  9. 1 2 Long, Derek A. (2002). The Raman Effect. John Wiley & Sons, Ltd. doi:10.1002/0470845767. ISBN 978-0471490289.
  10. 1 2 3 4 5 6 7 McCreery, Richard L. (2000). Raman spectroscopy for chemical analysis. New York: John Wiley & Sons. ISBN 0471231878. OCLC 58463983.
  11. 1 2 Kukura, Philipp; McCamant, David W.; Mathies, Richard A. (2007). "Femtosecond Stimulated Raman Spectroscopy". Annual Review of Physical Chemistry. 58 (1): 461–488. Bibcode:2007ARPC...58..461K. doi:10.1146/annurev.physchem.58.032806.104456. ISSN 0066-426X. PMID 17105414.
  12. Elliott, Anastasia B. S.; Horvath, Raphael; Gordon, Keith C. (2012). "Vibrational spectroscopy as a probe of molecule-based devices". Chem. Soc. Rev. 41 (5): 1929–1946. doi:10.1039/C1CS15208D. ISSN 0306-0012. PMID 22008975.
  13. Efremov, Evtim V.; Buijs, Joost B.; Gooijer, Cees; Ariese, Freek (2007). "Fluorescence Rejection in Resonance Raman Spectroscopy Using a Picosecond-Gated Intensified Charge-Coupled Device Camera". Applied Spectroscopy. 61 (6): 571–578. Bibcode:2007ApSpe..61..571E. doi:10.1366/000370207781269873. ISSN 0003-7028. PMID 17650366. S2CID 45754275.
  14. "Grating Dispersion/Resolution Calculator". princetoninstruments.com. Retrieved 2019-07-22.
  15. Gordon, Geoffrey P. S. Smith Gregory S. Huff Keith C. (February 2016). "Investigating Crystallinity Using Low Frequency Raman Spectroscopy: Applications in Pharmaceutical Analysis". Spectroscopy. Spectroscopy-02-01-2016. 31 (2): 42–50. Retrieved 2019-07-21.
  16. "BragGrate- Bandpass ASE Suppression Filters". optigrate.com. Retrieved 2019-07-21.
  17. "SureBlock- Ultra Narrow-band Notch Filters". coherent.com. Retrieved 2021-03-25.
  18. THE FINGERPRINT REGION OF AN INFRA-RED SPECTRUM Chemguide, Jim Clark 2000
  19. Khanna, R.K. (1981). "Raman-spectroscopy of oligomeric SiO species isolated in solid methane". Journal of Chemical Physics. 74 (4): 2108. Bibcode:1981JChPh..74.2108K. doi:10.1063/1.441393. hdl:2060/19800020960.
  20. "FDA approves Gilead cystic fibrosis drug Cayston". BusinessWeek. February 23, 2010. Archived from the original on March 1, 2010. Retrieved 2010-03-05.
  21. Chou, Kuo-Chen; Chen, Nian-Yi (1977). "The biological functions of low-frequency phonons". Scientia Sinica. 20 (3): 447–457.
  22. Urabe, H.; Tominaga, Y.; Kubota, K. (1983). "Experimental evidence of collective vibrations in DNA double helix Raman spectroscopy". Journal of Chemical Physics. 78 (10): 5937–5939. Bibcode:1983JChPh..78.5937U. doi:10.1063/1.444600.
  23. Chou, K.C. (1983). "Identification of low-frequency modes in protein molecules". Biochemical Journal. 215 (3): 465–469. doi:10.1042/bj2150465. PMC 1152424. PMID 6362659.
  24. Chou, K.C. (1984). "Low-frequency vibration of DNA molecules". Biochemical Journal. 221 (1): 27–31. doi:10.1042/bj2210027. PMC 1143999. PMID 6466317.
  25. Urabe, H.; Sugawara, Y.; Ataka, M.; Rupprecht, A. (1998). "Low-frequency Raman spectra of lysozyme crystals and oriented DNA films: dynamics of crystal water". Biophys J. 74 (3): 1533–1540. Bibcode:1998BpJ....74.1533U. doi:10.1016/s0006-3495(98)77865-8. PMC 1299499. PMID 9512049.
  26. Chou, Kuo-Chen (1988). "Review: Low-frequency collective motion in biomacromolecules and its biological functions". Biophysical Chemistry. 30 (1): 3–48. doi:10.1016/0301-4622(88)85002-6. PMID 3046672.
  27. Chou, K.C. (1989). "Low-frequency resonance and cooperativity of hemoglobin". Trends in Biochemical Sciences. 14 (6): 212–3. doi:10.1016/0968-0004(89)90026-1. PMID 2763333.
  28. Schlücker, S.; et al. (2011). "Design and synthesis of Raman reporter molecules for tissue imaging by immuno-SERS microscopy". Journal of Biophotonics. 4 (6): 453–463. doi:10.1002/jbio.201000116. PMID 21298811. S2CID 26964040.
  29. Jain, R.; et al. (2014). "Raman Spectroscopy Enables Noninvasive Biochemical Characterization and Identification of the Stage of Healing of a Wound". Analytical Chemistry. 86 (8): 3764–3772. doi:10.1021/ac500513t. PMC 4004186. PMID 24559115.
  30. "Fake drugs caught inside the pack". BBC News. 2007-01-31. Retrieved 2008-12-08.
  31. Butler, Holly J.; Ashton, Lorna; Bird, Benjamin; Cinque, Gianfelice; Curtis, Kelly; Dorney, Jennifer; Esmonde-White, Karen; Fullwood, Nigel J.; Gardner, Benjamin; Martin-Hirsch, Pierre L.; Walsh, Michael J.; McAinsh, Martin R.; Stone, Nicholas; Martin, Francis L. (2016). "Using Raman spectroscopy to characterize biological materials". Nature Protocols. 11 (4): 664–687. doi:10.1038/nprot.2016.036. PMID 26963630. S2CID 12315122. Retrieved 2017-05-22.
  32. Taylor, P.D.; Vinn, O.; Kudryavtsev, A.; Schopf, J.W. (2010). "Raman spectroscopic study of the mineral composition of cirratulid tubes (Annelida, Polychaeta)". Journal of Structural Biology. 171 (3): 402–405. doi:10.1016/j.jsb.2010.05.010. PMID 20566380. Retrieved 2014-06-10.
  33. Ben Vogel (29 August 2008). "Raman spectroscopy portends well for standoff explosives detection". Jane's. Archived from the original on 2008-12-03. Retrieved 2008-08-29.
  34. "Finding explosives with laser beams", a TU Vienna press-release
  35. 1 2 Misra, Anupam K.; Sharma, Shiv K.; Acosta, Tayro E.; Porter, John N.; et al. (2012). "Single-Pulse Standoff Raman Detection of Chemicals from 120 m Distance During Daytime". Applied Spectroscopy. 66 (11): 1279–85. Bibcode:2012ApSpe..66.1279M. doi:10.1366/12-06617. PMID 23146183. S2CID 44935369.
  36. "Working Groups | raman4clinics.eu". raman4clinics.eu. Retrieved 2017-05-22.
  37. Howell G. M. Edwards, John M. Chalmers, Raman Spectroscopy in Archaeology and Art History, Royal Society of Chemistry, 2005
  38. McCann, Lowell I.; Trentelman, K.; Possley, T.; Golding, B. (1999). "Corrosion of ancient Chinese bronze money trees studied by Raman microscopy". Journal of Raman Spectroscopy. 30 (2): 121–132. Bibcode:1999JRSp...30..121M. doi:10.1002/(SICI)1097-4555(199902)30:2<121::AID-JRS355>3.0.CO;2-L. ISSN 1097-4555.
  39. Trentelman, Karen; Turner, Nancy (2009). "Investigation of the painting materials and techniques of the late-15th century manuscript illuminator Jean Bourdichon". Journal of Raman Spectroscopy. 40 (5): 577–584. Bibcode:2009JRSp...40..577T. doi:10.1002/jrs.2186. ISSN 1097-4555.
  40. Raman Spectroscopy at ColourLex
  41. Dariz, Petra; Schmid, Thomas (2021). "Trace compounds in Early Medieval Egyptian blue carry information on provenance, manufacture, application, and ageing". Scientific Reports. 11 (11296): 11296. Bibcode:2021NatSR..1111296D. doi:10.1038/s41598-021-90759-6. PMC 8163881. PMID 34050218.
  42. Quinn, Eamon (May 28, 2007) Irish classic is still a hit (in calfskin, not paperback). New York Times
  43. Candeias, Antonio; Madariaga, Juan Manuel (2019). "Applications of Raman spectroscopy in art and archaeology". Journal of Raman Spectroscopy. 50 (2): 137–142. doi:10.1002/jrs.5571. ISSN 1097-4555.
  44. "Home | IRUG". www.irug.org. Retrieved 2020-05-15.
  45. 1 2 3 Lothar Opilik; Thomas Schmid; Renato Zenobi (2013). "Modern Raman Imaging: Vibrational Spectroscopy on the Micrometer and Nanometer Scales". Annual Review of Analytical Chemistry. 6: 379–398. Bibcode:2013ARAC....6..379O. doi:10.1146/annurev-anchem-062012-092646. ISSN 1936-1335. PMID 23772660.
  46. Marcet, S.; Verhaegen, M.; Blais-Ouellette, S.; Martel, R. (2012). Kieffer, Jean-Claude (ed.). "Raman Spectroscopy hyperspectral imager based on Bragg Tunable Filters". SPIE Photonics North. Photonics North 2012. 8412: 84121J. Bibcode:2012SPIE.8412E..1JM. doi:10.1117/12.2000479. S2CID 119859405.
  47. 1 2 Sebastian Schlücker; Michael D. Schaeberle; Scott W. Huffman; Ira W. Levin (2003). "Raman Microspectroscopy: A Comparison of Point, Line, and Wide-Field Imaging Methodologies". Analytical Chemistry. 75 (16): 4312–4318. doi:10.1021/ac034169h. ISSN 1520-6882. PMID 14632151.
  48. Robin W. Havener; et al. (December 2011). "High-Throughput Graphene Imaging on Arbitrary Substrates with Widefield Raman Spectroscopy". ACS Nano. 6 (1): 373–80. doi:10.1021/nn2037169. PMID 22206260.
  49. Gaufrès, E.; Tang, N. Y.-Wa; Lapointe, F.; Cabana, J.; Nadon, M.-A.; Cottenye, N.; Raymond, F.; Szkopek, T.; Martel, R. (2014). "Giant Raman scattering from J-aggregated dyes inside carbon nanotubes for multispectral imaging". Nature Photonics. 8 (1): 72–78. Bibcode:2014NaPho...8...72G. doi:10.1038/nphoton.2013.309. S2CID 120426939.
  50. Toporski, Jan; Dieing, Thomas; Hollricher, Olaf, eds. (2018). Confocal Raman Microscopy. Springer Series in Surface Sciences. Vol. 66. Springer. Bibcode:2018crm..book.....T. doi:10.1007/978-3-319-75380-5. ISBN 978-3-319-75378-2. ISSN 0931-5195.
  51. Neil J. Everall (2009). "Confocal Raman Microscopy: Performance, Pitfalls, and Best Practice". Applied Spectroscopy. 63 (9): 245A–262A. Bibcode:2009ApSpe..63..245E. doi:10.1366/000370209789379196. ISSN 1943-3530. PMID 19796478.
  52. Supporting Information Archived 2019-07-03 at the Wayback Machine of T. Schmid; N. Schäfer; S. Levcenko; T. Rissom; D. Abou-Ras (2015). "Orientation-distribution mapping of polycrystalline materials by Raman microspectroscopy". Scientific Reports. 5: 18410. Bibcode:2015NatSR...518410S. doi:10.1038/srep18410. ISSN 2045-2322. PMC 4682063. PMID 26673970.
  53. Ellis DI; Goodacre R (August 2006). "Metabolic fingerprinting in disease diagnosis: biomedical applications of infrared and Raman spectroscopy". Analyst. 131 (8): 875–85. Bibcode:2006Ana...131..875E. doi:10.1039/b602376m. PMID 17028718. S2CID 9748788.
  54. David Tuschel (2016). "Selecting an Excitation Wavelength for Raman Spectroscopy". Spectroscopy Online. 31 (3): 14–23.
  55. K. Christian Schuster; Ingo Reese; Eva Urlaub; J. Richard Gapes; Bernhard Lendl (2000). "Multidimensional Information on the Chemical Composition of Single Bacterial Cells by Confocal Raman Microspectroscopy". Analytical Chemistry. 72 (22): 5529–5534. doi:10.1021/ac000718x. ISSN 1520-6882. PMID 11101227.
  56. Shan Yang; Ozan Akkus; David Creasey (2017). "1064-nm Raman: The Right Choice for Biological Samples?". Spectroscopy Online. 32 (6): 46–54.
  57. Zanyar Movasaghi; Shazza Rehman; Ihtesham U. Rehman (2007). "Raman Spectroscopy of Biological Tissues". Applied Spectroscopy Reviews. 42 (5): 493–541. Bibcode:2007ApSRv..42..493M. doi:10.1080/05704920701551530. ISSN 1520-569X. S2CID 218638985.
  58. Peter J.Caspers; Hajo A.Bruining; Gerwin J.Puppels; Gerald W.Lucassen; Elizabeth A.Carter (2001). "In Vivo Confocal Raman Microspectroscopy of the Skin: Noninvasive Determination of Molecular Concentration Profiles". Journal of Investigative Dermatology. 116 (3): 434–442. doi:10.1046/j.1523-1747.2001.01258.x. hdl:1765/10881. ISSN 0022-202X. PMID 11231318.
  59. Pawel L. Urban; Thomas Schmid; Andrea Amantonico; Renato Zenobi (2011). "Multidimensional Analysis of Single Algal Cells by Integrating Microspectroscopy with Mass Spectrometry". Analytical Chemistry. 83 (5): 1843–1849. doi:10.1021/ac102702m. ISSN 1520-6882. PMID 21299196.
  60. Apkarian, V. Ara; Nicholas Tallarida; Crampton, Kevin T.; Lee, Joonhee (April 2019). "Visualizing vibrational normal modes of a single molecule with atomically confined light". Nature. 568 (7750): 78–82. Bibcode:2019Natur.568...78L. doi:10.1038/s41586-019-1059-9. ISSN 1476-4687. PMID 30944493. S2CID 92998248.
  61. Crampton, Kevin T.; Lee, Joonhee; Apkarian, V. Ara (2019-06-25). "Ion-Selective, Atom-Resolved Imaging of a 2D Cu2N Insulator: Field and Current Driven Tip-Enhanced Raman Spectromicroscopy Using a Molecule-Terminated Tip". ACS Nano. 13 (6): 6363–6371. doi:10.1021/acsnano.9b02744. ISSN 1936-0851. PMID 31046235. S2CID 143433439.
  62. 1 2 He, Zhe; Han, Zehua; Kizer, Megan; Linhardt, Robert J.; Wang, Xing; Sinyukov, Alexander M.; Wang, Jizhou; Deckert, Volker; Sokolov, Alexei V. (2019-01-16). "Tip-Enhanced Raman Imaging of Single-Stranded DNA with Single Base Resolution". Journal of the American Chemical Society. 141 (2): 753–757. doi:10.1021/jacs.8b11506. ISSN 0002-7863. PMID 30586988. S2CID 58552541.
  63. "Raman scattering". cryst.ehu.es. Retrieved 2019-07-04.
  64. Khanna, R.K. (1957). "Evidence of ion-pairing in the polarized Raman spectra of a Ba2+—CrO42- doped KI single crystal". Journal of Raman Spectroscopy. 4 (1): 25–30. Bibcode:1975JRSp....4...25G. doi:10.1002/jrs.1250040104.
  65. Itoh, Yuki; Hasegawa, Takeshi (May 2, 2012). "Polarization Dependence of Raman Scattering from a Thin Film Involving Optical Anisotropy Theorized for Molecular Orientation Analysis". The Journal of Physical Chemistry A. 116 (23): 5560–5570. Bibcode:2012JPCA..116.5560I. doi:10.1021/jp301070a. PMID 22551093.
  66. Iliev, M. N.; Abrashev, M. V.; Laverdiere, J.; Jandi, S.; et al. (February 16, 2006). "Distortion-dependent Raman spectra and mode mixing in RMnO3 perovskites (R=La,Pr,Nd,Sm,Eu,Gd,Tb,Dy,Ho,Y)". Physical Review B. 73 (6): 064302. Bibcode:2006PhRvB..73f4302I. doi:10.1103/physrevb.73.064302. S2CID 117290748.
  67. 1 2 Banwell, Colin N.; McCash, Elaine M. (1994). Fundamentals of Molecular Spectroscopy (4th ed.). McGraw–Hill. pp. 117–8. ISBN 978-0-07-707976-5.
  68. "What is polarised Raman spectroscopy? - HORIBA". horiba.com.
  69. Albrecht, Andreas C. (1961-05-01). "On the Theory of Raman Intensities". The Journal of Chemical Physics. 34 (5): 1476–1484. doi:10.1063/1.1701032. ISSN 0021-9606.
  70. 1 2 3 4 5 6 7 McHale, Jeanne L. (2017-07-06). "Molecular Spectroscopy". doi:10.1201/9781315115214. {{cite journal}}: Cite journal requires |journal= (help)
  71. Hizhnyakov, V.V.; Tehver, I.J. (March 1980). "Resonance Raman profile with consideration for quadratic vibronic coupling". Optics Communications. 32 (3): 419–421. doi:10.1016/0030-4018(80)90274-6. ISSN 0030-4018.
  72. Shreve, Andrew P.; Haroz, Erik H.; Bachilo, Sergei M.; Weisman, R. Bruce; Tretiak, Sergei; Kilina, Svetlana; Doorn, Stephen K. (2007-01-19). "Determination of Exciton-Phonon Coupling Elements in Single-Walled Carbon Nanotubes by Raman Overtone Analysis". Physical Review Letters. 98 (3). doi:10.1103/physrevlett.98.037405. ISSN 0031-9007.
  73. Blazej, Daniel C.; Peticolas, Warner L. (1980-03-01). "Ultraviolet resonance Raman excitation profiles of pyrimidine nucleotides". The Journal of Chemical Physics. 72 (5): 3134–3142. doi:10.1063/1.439547. ISSN 0021-9606.
  74. Lee, Soo-Y.; Heller, E. J. (1979-12-15). "Time-dependent theory of Raman scattering". The Journal of Chemical Physics. 71 (12): 4777–4788. doi:10.1063/1.438316. ISSN 0021-9606.
  75. Heller, Eric J.; Sundberg, Robert; Tannor, David (May 1982). "Simple aspects of Raman scattering". The Journal of Physical Chemistry. 86 (10): 1822–1833. doi:10.1021/j100207a018. ISSN 0022-3654.
  76. Heller, Eric J. (1981-12-01). "The semiclassical way to molecular spectroscopy". Accounts of Chemical Research. 14 (12): 368–375. doi:10.1021/ar00072a002. ISSN 0001-4842.
  77. Tannor, David J.; Heller, Eric J. (1982-07-01). "Polyatomic Raman scattering for general harmonic potentials". The Journal of Chemical Physics. 77 (1): 202–218. doi:10.1063/1.443643. ISSN 0021-9606.
  78. Li, Xufan; Lin, Ming-Wei; Puretzky, Alexander A.; Idrobo, Juan C.; Ma, Cheng; Chi, Miaofang; Yoon, Mina; Rouleau, Christopher M.; Kravchenko, Ivan I.; Geohegan, David B.; Xiao, Kai (2014). "Controlled Vapor Phase Growth of Single Crystalline, Two-Dimensional Ga Se Crystals with High Photoresponse". Scientific Reports. 4: 5497. Bibcode:2014NatSR...4E5497L. doi:10.1038/srep05497. PMC 4074793. PMID 24975226.
  79. Chao RS; Khanna RK; Lippincott ER (1974). "Theoretical and experimental resonance Raman intensities for the manganate ion". Journal of Raman Spectroscopy. 3 (2–3): 121–131. Bibcode:1975JRSp....3..121C. doi:10.1002/jrs.1250030203.
  80. Zachary J. Smith & Andrew J. Berger (2008). "Integrated Raman- and angular-scattering microscopy" (PDF). Opt. Lett. 3 (7): 714–716. Bibcode:2008OptL...33..714S. CiteSeerX 10.1.1.688.8581. doi:10.1364/OL.33.000714. PMID 18382527.
  81. Li, Yong-qing; William Li; Ling, Lin; Ling, Dong-xiong; Wu, Mu-ying (2017-02-17). "Stable optical trapping and sensitive characterization of nanostructures using standing-wave Raman tweezers". Scientific Reports. 7: 42930. Bibcode:2017NatSR...742930W. doi:10.1038/srep42930. ISSN 2045-2322. PMC 5314326. PMID 28211526.
  82. Esat, Kivanç; David, Grègory; Theodoros, Poulkas; Shein, Mikhail; Ruth, Signorell (2018). "Phase transition dynamics of single optically trapped aqueous potassium carbonate particles". Phys. Chem. Chem. Phys. 20 (17): 11598–11607. Bibcode:2018PCCP...2011598E. doi:10.1039/c8cp00599k. hdl:20.500.11850/268286. PMID 29651474.
  83. Zhiyong, Gong; Yong-Le, Pan; Gorden, Videen; Chuji, Wang (2018). "Optical trapping-Raman spectroscopy (OT-RS) with embedded microscopy imaging for concurrent characterization and monitoring of physical and chemical properties of single particles". Anal. Chim. Acta. 1020: 86–94. doi:10.1016/j.aca.2018.02.062. PMID 29655431. S2CID 4886846.
  84. Barron LD; Hecht L; McColl IH; Blanch EW (2004). "Raman optical activity comes of age". Mol. Phys. 102 (8): 731–744. Bibcode:2004MolPh.102..731B. doi:10.1080/00268970410001704399. S2CID 51739558.
  85. Schrader, Bernhard; Bergmann, Gerhard (1967). "Die Intensität des Ramanspektrums polykristalliner Substanzen". Fresenius' Zeitschrift für Analytische Chemie. 225 (2): 230–247. doi:10.1007/BF00983673. ISSN 0016-1152. S2CID 94487523.
  86. Matousek, P.; Parker, A. W. (2006). "Bulk Raman Analysis of Pharmaceutical Tablets". Applied Spectroscopy. 60 (12): 1353–1357. Bibcode:2006ApSpe..60.1353M. doi:10.1366/000370206779321463. PMID 17217583. S2CID 32218439.
  87. Matousek, P.; Stone, N. (2007). "Prospects for the diagnosis of breast cancer by noninvasive probing of calcifications using transmission Raman spectroscopy". Journal of Biomedical Optics. 12 (2): 024008. Bibcode:2007JBO....12b4008M. doi:10.1117/1.2718934. PMID 17477723. S2CID 44498295.
  88. Kamemoto, Lori E.; Misra, Anupam K.; Sharma, Shiv K.; Goodman, Hugh Luk; et al. (December 4, 2009). "Near-Infrared Micro-Raman Spectroscopy for in Vitro Detection of Cervical Cancer". Applied Spectroscopy. 64 (3): 255–61. Bibcode:2010ApSpe..64..255K. doi:10.1366/000370210790918364. PMC 2880181. PMID 20223058.
  89. Misra, Anupam K.; Sharma, Shiv K.; Kamemoto, Lori; Zinin, Pavel V.; et al. (December 8, 2008). "Novel Micro-Cavity Substrates for Improving the Raman Signal from Submicrometer Size Materials". Applied Spectroscopy. 63 (3): 373–7. Bibcode:2009ApSpe..63..373M. doi:10.1366/000370209787598988. PMID 19281655. S2CID 9746377.
  90. Cooney, J. (1965). "International symposium on electromagnetic sensing of the earth from satellites". Bulletin of the American Meteorological Society. 46 (10): 683–684. Bibcode:1965BAMS...46..683.. doi:10.1175/1520-0477-46.10.683.
  91. Leonard, Donald A. (1967). "Observation of Raman Scattering from the Atmosphere using a Pulsed Nitrogen Ultraviolet Laser". Nature. 216 (5111): 142–143. Bibcode:1967Natur.216..142L. doi:10.1038/216142a0. S2CID 4290339.
  92. Vess, Thomas M.; Kulp, Thomas J.; Angel, S. M. (1992-07-01). "Remote-Raman Spectroscopy at Intermediate Ranges Using Low-Power cw Lasers". Applied Spectroscopy. 46 (7): 1085–1091. Bibcode:1992ApSpe..46.1085A. doi:10.1366/0003702924124132. S2CID 95937544.
  93. Schülke, W (2007). Electron dynamics studied by inelastic x-ray scattering. Oxford University Press.
  94. Jeanmaire DL; van Duyne RP (1977). "Surface Raman Electrochemistry Part I. Heterocyclic, Aromatic and Aliphatic Amines Adsorbed on the Anodized Silver Electrode". Journal of Electroanalytical Chemistry. 84: 1–20. doi:10.1016/S0022-0728(77)80224-6.
  95. Lombardi JR; Birke RL (2008). "A Unified Approach to Surface-Enhanced Raman Spectroscopy". Journal of Physical Chemistry C. 112 (14): 5605–5617. doi:10.1021/jp800167v.
  96. Shi, Xian; Coca-López, Nicolás; Janik, Julia; Hartschuh, Achim (2017-02-17). "Advances in Tip-Enhanced Near-Field Raman Microscopy Using Nanoantennas". Chemical Reviews. 117 (7): 4945–4960. doi:10.1021/acs.chemrev.6b00640. ISSN 0009-2665. PMID 28212025.
  97. Hou, J. G.; Yang, J. L.; Luo, Y.; Aizpurua, J.; Y. Liao; Zhang, L.; Chen, L. G.; Zhang, C.; Jiang, S. (June 2013). "Chemical mapping of a single molecule by plasmon-enhanced Raman scattering". Nature. 498 (7452): 82–86. Bibcode:2013Natur.498...82Z. doi:10.1038/nature12151. ISSN 1476-4687. PMID 23739426. S2CID 205233946.
  98. Lee, Joonhee; Tallarida, Nicholas; Chen, Xing; Liu, Pengchong; Jensen, Lasse; Apkarian, Vartkess Ara (2017-10-12). "Tip-Enhanced Raman Spectromicroscopy of Co(II)-Tetraphenylporphyrin on Au(111): Toward the Chemists' Microscope". ACS Nano. 11 (11): 11466–11474. doi:10.1021/acsnano.7b06183. ISSN 1936-0851. PMID 28976729.
  99. Tallarida, Nicholas; Lee, Joonhee; Apkarian, Vartkess Ara (2017-10-09). "Tip-Enhanced Raman Spectromicroscopy on the Angstrom Scale: Bare and CO-Terminated Ag Tips". ACS Nano. 11 (11): 11393–11401. doi:10.1021/acsnano.7b06022. ISSN 1936-0851. PMID 28980800.
  100. Lee, Joonhee; Tallarida, Nicholas; Chen, Xing; Jensen, Lasse; Apkarian, V. Ara (June 2018). "Microscopy with a single-molecule scanning electrometer". Science Advances. 4 (6): eaat5472. Bibcode:2018SciA....4.5472L. doi:10.1126/sciadv.aat5472. ISSN 2375-2548. PMC 6025905. PMID 29963637.
  101. Hermann, P; Hermeling, A; Lausch, V; Holland, G; Möller, L; Bannert, N; Naumann, D (2011). "Evaluation of tip-enhanced Raman spectroscopy for characterizing different virus strains". Analyst. 136 (2): 1148–1152. Bibcode:2011Ana...136.1148H. doi:10.1039/C0AN00531B. PMID 21270980.
  102. Lee, Joonhee; Crampton, Kevin T.; Tallarida, Nicholas; Apkarian, V. Ara (April 2019). "Visualizing vibrational normal modes of a single molecule with atomically confined light". Nature. 568 (7750): 78–82. Bibcode:2019Natur.568...78L. doi:10.1038/s41586-019-1059-9. ISSN 0028-0836. PMID 30944493. S2CID 92998248.
  103. Novotny, L; Hafner, C (1994). "Light propagation in a cylindrical waveguide with a complex, metallic, dielectric function". Physical Review E. 50 (5): 4094–4106. Bibcode:1994PhRvE..50.4094N. doi:10.1103/PhysRevE.50.4094. PMID 9962466.
  104. De Angelis, F; Das, G; Candeloro, P; Patrini, M; et al. (2010). "Nanoscale chemical mapping using three-dimensional adiabatic compression of surface plasmon polaritons". Nature Nanotechnology. 5 (1): 67–72. Bibcode:2010NatNa...5...67D. doi:10.1038/nnano.2009.348. PMID 19935647.
  105. De Angelis, F; Proietti Zaccaria, R; Francardi, M; Liberale, C; et al. (2011). "Multi-scheme approach for efficient surface plasmon polariton generation in metallic conical tips on AFM-based cantilevers". Optics Express. 19 (22): 22268–79. Bibcode:2011OExpr..1922268D. doi:10.1364/OE.19.022268. PMID 22109069.
  106. Proietti Zaccaria, R; Alabastri, A; De Angelis, F; Das, G; et al. (2012). "Fully analytical description of adiabatic compression in dissipative polaritonic structures". Physical Review B. 86 (3): 035410. Bibcode:2012PhRvB..86c5410P. doi:10.1103/PhysRevB.86.035410.
  107. Proietti Zaccaria, R; De Angelis, F; Toma, A; Razzari, L; et al. (2012). "Surface plasmon polariton compression through radially and linearly polarized source". Optics Letters. 37 (4): 545–7. Bibcode:2012OptL...37..545Z. doi:10.1364/OL.37.000545. PMID 22344101.
  108. Kneipp K; et al. (1999). "Surface-Enhanced Non-Linear Raman Scattering at the Single Molecule Level". Chem. Phys. 247 (1): 155–162. Bibcode:1999CP....247..155K. doi:10.1016/S0301-0104(99)00165-2.
  109. 1 2 3 Malvern Panalytical. "MDRS Morphologically Directed Raman Spectroscopy".
  110. 1 2 3 "Introducing morphologically directed Raman spectroscopy: A powerful tool for the detection of counterfeit drugs". Quality Control. Manufacturing Chemist. October 2016.
  111. 1 2 3 "Morphologically Directed Raman Spectroscopic Analysis of Forensic Samples" (PDF). Spectroscopy Onlinet. January 2018.

Further reading

This article is issued from Wikipedia. The text is licensed under Creative Commons - Attribution - Sharealike. Additional terms may apply for the media files.