Sulfinalol
Names
IUPAC name
4-[1-Hydroxy-2-[4-(4-methoxyphenyl)butan-2-ylamino]ethyl]-2-methylsulfinylphenol
Identifiers
3D model (JSmol)
UNII
  • InChI=1S/C20H27NO4S/c1-14(4-5-15-6-9-17(25-2)10-7-15)21-13-19(23)16-8-11-18(22)20(12-16)26(3)24/h6-12,14,19,21-23H,4-5,13H2,1-3H3
    Key: PAQZZCOZHPGCFW-UHFFFAOYSA-N
  • CC(CCC1=CC=C(C=C1)OC)NCC(C2=CC(=C(C=C2)O)S(=O)C)O
Properties
C20H27NO4S
Molar mass 377.50 g·mol−1
Except where otherwise noted, data are given for materials in their standard state (at 25 °C [77 °F], 100 kPa).
Infobox references

Sulfinalol is a beta adrenergic receptor antagonist.[1]

Synthesis

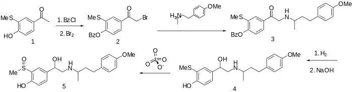
The methyl group on a sulfoxide is sufficiently acidic to substitute for phenolic hydroxyl.

Sulfinalol synthesis:[2] R. E. Philion, (1978 to Sterling), C.A. 90, 137468 (1979).

The preparation of this combined α- and β-blocker sulfinalol begins by protection of the phenolic hydroxyl as its benzoate ester. Bromination followed by condensation with 4-(4-methoxyphenyl)butan-2-amine (not PMA) gives the aminoketone 3. Successive catalytic reduction and saponification affords aminoalcohol 4. Oxidation of the sulfide to the sulfoxide with a reagent such as metaperiodate gives sulfinalol (5).

References

  1. Sybertz, E. J.; Baum, T.; Pula, K. K.; Nelson, S.; Eynon, E.; Sabin, C. (1982). "Studies on the mechanism of the acute antihypertensive and vasodilator actions of several beta-adrenoceptor antagonists". J. Cardiovasc. Pharmacol. 4 (5): 749–58. doi:10.1097/00005344-198209000-00009. PMID 6182405. S2CID 34100646.
  2. DE 2728641, Philion, Richard Everett, "4-Hydroxyphenylalkanolaminderivate und Verfahren zu deren Herstellung [4-Hydroxyphenylalkanolamine derivatives and processes preparation thereof]", published 1978-01-05, assigned to Sterling Drug Inc.



This article is issued from Wikipedia. The text is licensed under Creative Commons - Attribution - Sharealike. Additional terms may apply for the media files.