Tengwar
The word "Tengwar" written using the Tengwar script in the Quenya mode
Script type
Alternative
abugida or alphabet according to the "mode"
CreatorJ. R. R. Tolkien
Time period
1930s–present
Directionleft-to-right Edit this on Wikidata
Languagesa number of Tolkien's constructed languages, Quenya and Sindarin, English
Related scripts
Parent systems
Sarati
  • Tengwar
ISO 15924
ISO 15924Teng (290), Tengwar
First article of the Universal Declaration of Human Rights in English, written with a spelling-based pointed mode of Tengwar. The first three lines: "All human beings are / born free and equal / in dignity and rights. /..."

The Tengwar (/ˈtɛŋɡwɑːr/) script is an artificial script, one of several scripts created by J. R. R. Tolkien, the author of The Lord of the Rings.

Within the fictional context of Middle-earth, the Tengwar were invented by the Elf Fëanor, and used first to write the Elven tongues Quenya and Telerin. Later a great number of Tolkien's constructed languages were written using the Tengwar, including Sindarin. Tolkien used Tengwar to write English: most of Tolkien's Tengwar samples are actually in English.

Internal history and terminology

According to J. R. R. Tolkien's The War of the Jewels, edited by his son Christopher Tolkien, at the time Fëanor created his script, he introduced a change in terminology. He called a letter, a written representation of a spoken phoneme (tengwë), a tengwa. Previously, any letter or symbol had been called a sarat (from *sar "incise"). The alphabet of Rúmil of Tirion, on which Fëanor supposedly based his own work, was known as Sarati. It later became known as "Tengwar of Rúmil".[1]

The plural of tengwa is tengwar, and this is the name by which Fëanor's writing system became known. Since, however, in commonly used modes, an individual tengwa was equivalent to a consonant, the term tengwa in the fiction became equivalent to "consonant sign", and the vowel signs were known as ómatehtar. By loan-translation, the tengwar became known as tîw (singular têw) in Sindarin, when they were introduced to Beleriand. The letters of the earlier alphabet native to Sindarin were called cirth (singular certh, probably from *kirte "cutting", and thus semantically analogous to Quenya sarat). This term was loaned into exilic Quenya as certa, plural certar.

External history

Precursors

The sarati, a script developed by Tolkien in the late 1910s and described in Parma Eldalamberon 13, anticipates many features of the tengwar: vowel representation by diacritics (which is found in many tengwar varieties); different tengwar shapes; and a few correspondences between sound features and letter shape features (though inconsistent).

Even closer to the tengwar is the Valmaric script, described in Parma Eldalamberon 14, which Tolkien used from about 1922 to 1925. It features many tengwar shapes, the inherent vowel [a] found in some tengwar varieties, and the tables in the samples V12 and V13 show an arrangement that is very similar to one of the primary tengwar in the classical Quenya "mode".

Jim Allan in his An Introduction to Elvish compared the tengwar with the Universal Alphabet by the London merchant Francis Lodwick of 1686, both on grounds of the correspondence between shape features and sound features, and of the actual letter shapes.[2]

Tengwar

The two-line inscription on the One Ring, written in the Black Speech of Mordor using Tengwar: "Ash nazg durbatulûk, ash nazg gimbatul / ash nazg thrakatulûk, agh burzum-ishi krimpatul".
Tengwar "atul" element recurring in the ring inscription

The tengwar script was probably developed in the late 1920s or in the early 1930s. The Lonely Mountain Jar Inscription, the first published Tengwar sample, dates to 1937.[3] The full explanation of the tengwar was published in Appendix E of The Lord of the Rings in 1955.[4]

The Mellonath Daeron Index of Tengwar Specimina (DTS) lists most of the known samples of tengwar by Tolkien.

There are only a few known samples predating publication of The Lord of the Rings (many of them published posthumously):

The following samples presumably predate the Lord of the Rings, but were not explicitly dated:

  • Elvish Script Sample I, II, III, with parts of the English poems Errantry and Bombadil, first published in the Silmarillion Calendar 1978, later in Pictures by J. R. R. Tolkien,[13]
  • So Lúthien, a page of the English Lay of Leithian text[14][15]

Description

Tengwar alphabet with the name of each tengwa, arranged phonetically according to the Quenya mode

Letters

The most notable characteristic of the tengwar script is that the shapes of the letters correspond to the distinctive features of the sounds they represent. The Quenya consonant system has five places of articulation: labial, dental, palatal, velar, and glottal. The velars distinguish between plain and labialized (that is, articulated with rounded lips, or followed by a [w] sound). Each point of articulation, and the corresponding tengwa series, has a name in the classical Quenya mode. Dental sounds are called Tincotéma and are represented with the tengwar in column I. Labial sounds are called Parmatéma, and represented by the column II tengwar; velar sounds are called Calmatéma, represented by column III; and labialized velar sounds are called Quessetéma, represented by the tengwar of column IV. Palatal sounds are called Tyelpetéma and have no tengwa series of their own, but are represented by column III letters with an added diacritic for following [j].

Similarly shaped letters reflect not only similar places of articulation, but also similar manners of articulation. In the classical Quenya mode, row 1 represents voiceless stops, row 2 voiced prenasalized stops, row 3 voiceless fricatives, row 4 voiceless prenasalized stops, row 5 nasal stops, and row 6 approximants.[16]

Regularly formed

Most letters are constructed by a combination of two basic shapes: a vertical stem (either long or short) and either one or two rounded bows (which may or may not be underscored, and may be on the left or right of the stem).

These principal letters are divided into four series ("témar") that correspond to the main places of articulation and into six grades ("tyeller") that correspond to the main manners of articulation. Both vary among modes.

Each series is headed by the basic signs composed of a vertical stem descending below the line, and a single bow. These basic signs represent the voiceless stop consonants for that series. For the classical Quenya mode, they are /t/, /p/, /k/ and /kʷ/, and the series are named tincotéma, parmatéma, calmatéma, and quessetéma, respectively; téma means "series" in Quenya.

In rows of the general use, there are the following correspondences between letter shapes and manners of articulation:

  • Doubling the bow turns the voiceless consonant into a voiced one.
  • Raising the stem above the line turns it into the corresponding fricative.
  • Shortening it (so it is only the height of the bow) creates the corresponding nasal. In most modes, the signs with shortened stem and single bow do not correspond to the voiceless nasals, but to the approximants.

In addition to these variations of the tengwar shapes, there is yet another variation, the use of stems that are extended both above and below the line. This shape may correspond to other consonant variations required. Except for some English abbreviations, it is not used in any of the better known tengwar modes, but it occurs in a Quenya mode where the tengwa Parma with extended stem is used for /pt/ and the tengwa Calma with extended stem is used for /kt/.[17] The tengwar with raised stems sometimes occur in glyph variants that look like extended stems, as seen in the inscription of the One Ring.

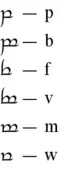
An example from the parmatéma (the signs with a closed bow on the right side) in the "general use" of the tengwar is:

  • The basic sign, named parma, (with descending stem) represents /p/ (it happens to look much like the Latin letter P).
  • With the bow doubled, umbar, it represents /b/.
  • With a raised stem, formen, it represents /f/.
  • With a raised stem and a doubled bow, ampa, it represents generally /v/ but possibly /mp/ (depending upon the language).
  • With a short stem and double bow, malta, it represents /m/.
  • With short stem and single bow, vala, it represents /w/, or /v/ if that has the phonological behaviour of a sonorant (e.g. in Quenya).

In languages such as Quenya, which do not contain any voiced fricatives other than "v", the raised stem + doubled bow row is used for the common nasal+stop sequences (nt, mp, nk, nqu). In such cases, the "w" sign in the previous paragraph is used for "v". In the mode of Beleriand, found on the door to Moria, the bottom tyellë is used for nasals (e.g., vala is used for /m/) and the fifth tyellë for doubled nasals (malta for /mm/).

Irregularly formed

There are additional letters that do not have regular shapes. They may represent, e.g., /r/, /l/, /s/ and /h/. Their use varies considerably from mode to mode. Some aficionados have added more letters not found in Tolkien's writings for use in their modes.

Tehtar

Tehtar

A tehta (Quenya "marking") is a diacritic placed above or below the tengwa. They can represent vowels, consonant doubling, or nasal sound.

As Tolkien explained in Appendix E of The Lord of the Rings, the tehtar for vowels resemble Latin diacritics: circumflex (î) /a/, acute (í) /e/, dot (i) /i/, left curl (ı̔) /o/, and right curl (ı̓) /u/. Long vowels, excepting /a/, may be indicated by doubling the signs. Some languages from which /o/ is absent or in which compared to /u/ it appears sparsely, such as the Black Speech, use left curl for /u/; other languages swap the signs for /e/ and /i/.

A vowel occurring alone is drawn on the vowel carrier, which resembles dotless i (ı) for a short vowel or dotless j (ȷ) for a long vowel.

Modes

Three modes of tengwar
Yellow: Classical mode
Pink: Mode of Beleriand
Grey: General mode

Just as with any alphabetic writing system, every specific language written in tengwar requires a specific orthography, depending on the phonology of that language. These tengwar orthographies are usually called modes. Some modes follow pronunciation, while others follow traditional orthography.

Some modes map the basic consonants to /t/, /p/, /k/ and /kʷ/ (classical mode in chart at right), while others use them to represent /t/, /p/, /tʃ/ and /k/ (general mode at right). The other main difference is in the fourth tyellë below, where those letters with raised stems and doubled bows can be either voiced fricatives, as in Sindarin (general mode at right), or nasalized stops, as in Quenya (classical mode).

Ómatehtar

In some modes, called ómatehtar (or vowel tehtar) modes, the vowels are represented with diacritics called tehtar (Quenya for 'signs'; corresponding singular: tehta, 'sign'). These ómatehtar modes can be considered abugidas rather than true alphabets.[18] In some ómatehtar modes, the consonant signs feature an inherent vowel.

Ómatehtar modes can vary in that the vowel stroke can be placed either on top of the consonant preceding it, as in Quenya, or on the consonant following, as in Sindarin, English, and the notorious Black Speech inscription on the One Ring.

Full writing

In the full writing modes, the consonants and the vowels are represented by Tengwar. Only one such mode is well known. It is called the "mode of Beleriand" and one can read it on the Doors of Durin.

Modes for other languages

Since the publication of the first official description of the Tengwar at the end of The Lord of the Rings, others have created modes for other languages such as English, Spanish, German, Swedish, French, Finnish, Italian, Hungarian and Welsh. Modes have also been devised for other constructed languages; Esperanto and Lojban.

Tolkien had used multiple modes for English, including full writing and ómatehtar alphabetic modes, phonetic full modes and phonetic ómatehtar modes known from documents published after his death.

    Encoding schemes

    Legacy encoding

    The contemporary de facto standard in the tengwar user community maps the tengwar characters onto the ISO 8859-1 character encoding following the example of the tengwar typefaces by Dan Smith. This implies a major flaw: If no corresponding tengwar font is installed, a string of nonsense characters appears.

    Since there are not enough places in ISO 8859-1's 191 codepoints for all the signs used in tengwar orthography, certain signs are included in a "tengwar A" font which also maps its characters on ISO 8859-1, overlapping with the first font.

    For each tengwar diacritic, there are four different codepoints that are used depending on the width of the character which bears it.

    Other tengwar typefaces with this encoding include Johan Winge's Tengwar Annatar, Måns Björkman's Tengwar Parmaitë, Enrique Mombello's Tengwar Élfica or Michal Nowakowski's Tengwar Formal (note that most of these differ in details).

    The following sample shows the first article of the Universal Declaration of Human Rights written in English, according to the traditional English orthography. It should look similar to the picture at the top of the page, but if no tengwar font is installed, it will appear as a jumble of characters because the corresponding ISO 8859-1 characters will appear instead.

    j#¸ 9t&5# w`Vb%_ 6EO w6Y5 e7`V`V 2{( zèVj# 5% 2x%51T`Û 2{( 7v%1+- 4hR 7EO 2{$yYO2 y4% 7]F85^ 2{( z5^8I`B5$I( 2{( dyYj2 zE1 1yY6E2_ 5^( 5#4^(7 5% `C 8q7T1T W w74^(692^H --

    Note: Some browsers may not display these characters properly.

    Unicode

    Michael Everson made a proposal to include the tengwar in the Unicode standard in 1997.[19] As of 2023 the range U+16080 to U+160FF in the SMP is tentatively allocated for tengwar in the Unicode roadmap.[20]

    ConScript Unicode Registry

    Tengwar
    RangeU+E000..U+E07F
    (128 code points)
    PlaneBMP
    ScriptsArtificial Scripts
    Major alphabetsTengwar
    Assigned93 code points
    Unused35 reserved code points
    Source standardsCSUR
    Note: Part of the Private-Use Area, font conflicts possible[21]

    Tengwar are currently included in the unofficial ConScript Unicode Registry (CSUR), which assigns codepoints in the Private Use Area. Tengwar are mapped to the range U+E000 to U+E07F; see External links. The following Unicode sample (which repeats the one above) is meaningful when viewed under a typeface supporting tengwar glyphs in the area defined in the ConScript tengwar proposal.

                ⸬                   ⸬

    Some typefaces that support this proposal are Everson Mono, Tengwar Telcontar, Constructium, Tengwar Formal Unicode, and FreeMonoTengwar (James Kass's Code2000 and Code2001 use an older, incompatible version of the proposal). The eight “Aux” variant fonts of Kurinto (Kurinto Text Aux, Book Aux, Sans Aux, etc.) also support Tengwar.

    Tengwar[1][2]
    ConScript Unicode Registry
     0123456789ABCDEF
    U+E00x
    U+E01x
    U+E02x
    U+E03x
    U+E04x
    U+E05x
    U+E06x
    U+E07x
    Notes
    1.^ Proposals 1993-05-09, 1996-09-15; revision 1998-01-10
    2.^ Grey areas indicate non-assigned code points
    Tengwar[1][2]
    ConScript Unicode Registry, 2001 draft proposal
     0123456789ABCDEF
    U+E00x
    U+E01x
    U+E02x
    U+E03x
    U+E04x
    U+E05x
    U+E06x
    U+E07x
    Notes
    1.^ Proposal 2001-03-07
    2.^ Grey areas indicate non-assigned code points
    Tengwar letters CSUR encoding
    NameImageCSURDesignation annotation
    tincotincoU+E000TENGWAR LETTER TINCO
    parmaparmaU+E001TENGWAR LETTER PARMA
    calmacalmaU+E002TENGWAR LETTER CALMA
    quessëquessëU+E003TENGWAR LETTER QUESSE
    andoandoU+E004TENGWAR LETTER ANDO
    umbarumbarU+E005TENGWAR LETTER UMBAR
    angaangaU+E006TENGWAR LETTER ANGA
    ungwëungwëU+E007TENGWAR LETTER UNGWE
    súlë / thúlësúlë / thúlëU+E008TENGWAR LETTER THUULE (suule)
    formenformenU+E009TENGWAR LETTER FORMEN
    harma / ahaharma / ahaU+E00ATENGWAR LETTER HARMA (aha)
    hwestahwestaU+E00BTENGWAR LETTER HWESTA
    antoantoU+E00CTENGWAR LETTER ANTO
    ampaampaU+E00DTENGWAR LETTER AMPA
    ancaancaU+E00ETENGWAR LETTER ANCA
    unquëunquëU+E00FTENGWAR LETTER UNQUE
    númennúmenU+E010TENGWAR LETTER NUUMEN
    maltamaltaU+E011TENGWAR LETTER MALTA
    noldo / ñoldonoldo / ñoldoU+E012TENGWAR LETTER NOLDO (ngoldo)
    nwalmë / ñwalmënwalmë / ñwalmëU+E013TENGWAR LETTER NWALME (ngwalme)
    órëórëU+E014TENGWAR LETTER OORE
    valavalaU+E015TENGWAR LETTER VALA
    annaannaU+E016TENGWAR LETTER ANNA
    vilya / wilyavilya / wilyaU+E017TENGWAR LETTER VILYA (wilya)
    rómenrómenU+E018TENGWAR LETTER ROOMEN
    ardaardaU+E019TENGWAR LETTER ARDA
    lambëlambëU+E01ATENGWAR LETTER LAMBE
    aldaaldaU+E01BTENGWAR LETTER ALDA
    silmësilmëU+E01CTENGWAR LETTER SILME
    silmë nuquernasilmë nuquernaU+E01DTENGWAR LETTER SILME NUQUERNA
    essë / áre/ázeessë / áre/ázeU+E01ETENGWAR LETTER AARE (aaze, esse)
    essë nuquerna / áre/áze nuquernaessë nuquerna / áre/áze nuquernaU+E01FTENGWAR LETTER AARE NUQUERNA (aaze n., esse n.)
    hyarmenhyarmenU+E020TENGWAR LETTER HYARMEN
    hwesta sindarinwahwesta sindarinwaU+E021TENGWAR LETTER HWESTA SINDARINWA
    yantayantaU+E022TENGWAR LETTER YANTA
    úrëúrëU+E023TENGWAR LETTER UURE
    hallahallaU+E024TENGWAR LETTER HALLA
    telcotelcoU+E025TENGWAR LETTER SHORT CARRIER
    áraáraU+E026TENGWAR LETTER LONG CARRIER
    Tengwar ligatures and extended letters CSUR encoding
    NameImageCSURDesignation annotation
    U+E027TENGWAR LETTER ANNA SINDARINWA
    U+E028TENGWAR LETTER EXTENDED THUULE
    U+E029TENGWAR LETTER EXTENDED FORMEN
    U+E02ATENGWAR LETTER EXTENDED HARMA
    U+E02BTENGWAR LETTER EXTENDED HWESTA
    U+E02CTENGWAR LETTER EXTENDED ANTO
    U+E02DTENGWAR LETTER EXTENDED AMPA
    U+E02ETENGWAR LETTER EXTENDED ANCA
    U+E02FTENGWAR LETTER EXTENDED UNQUE
    U+E030TENGWAR LETTER STEMLESS OORE (digit zero)
    U+E031TENGWAR LETTER STEMLESS VALA
    U+E032TENGWAR LETTER STEMLESS ANNA
    U+E033TENGWAR LETTER STEMLESS VILYA (digit one)
    Tengwar accents CSUR encoding
    NameImageCSURDesignation annotation
    amatixe 3amatixe 3U+E040TENGWAR SIGN THREE DOTS ABOVE
    unutixe 3U+E041TENGWAR SIGN THREE DOTS BELOW
    amatixe 2amatixe 2U+E042TENGWAR SIGN TWO DOTS ABOVE
    unutixe 2unutixe 2U+E043TENGWAR SIGN TWO DOTS BELOW
    amatixe 1amatixe 1U+E044TENGWAR SIGN AMATICSE (dot above)
    unutixe 1unutixe 1U+E045TENGWAR SIGN NUNTICSE (dot below)
    teccoteccoU+E046TENGWAR SIGN ACUTE (andaith, long mark)
    U+E047TENGWAR SIGN DOUBLE ACUTE
    remperempeU+E048TENGWAR SIGN RIGHT CURL
    U+E049TENGWAR SIGN DOUBLE RIGHT CURL
    rempenuquernarempenuquernaU+E04ATENGWAR SIGN LEFT CURL
    U+E04BTENGWAR SIGN DOUBLE LEFT CURL
    amatweamatweU+E04CTENGWAR SIGN NASALIZER
    unuatweunuatweU+E04DTENGWAR SIGN DOUBLER
    U+E04ETENGWAR SIGN TILDE
    U+E04FTENGWAR SIGN BREVE
    U+E050TENGWAR PUSTA (putta, stop)
    U+E051TENGWAR DOUBLE PUSTA (putta)
    U+E052TENGWAR EXCLAMATION MARK
    U+E053TENGWAR QUESTION MARK
    U+E054TENGWAR SECTION MARK
    U+E055TENGWAR LONG SECTION MARK
    thinnasthinnasU+E056TENGWAR SIGN LONG CARRIER BELOW
    U+E057TENGWAR SIGN DOUBLE ACUTE BELOW
    U+E058TENGWAR SIGN RIGHT CURL BELOW
    U+E05ATENGWAR SIGN LEFT CURL BELOW
    sarincesarinceU+E05CTENGWAR SIGN LEFT FOLLOWING SILME
    U+E05DTENGWAR SIGN RIGHT FOLLOWING SILME
    Tengwar digits CSUR encoding
    NameImageCSURDesignation annotation
    0U+E030TENGWAR LETTER STEMLESS OORE (digit zero)
    1U+E033TENGWAR LETTER STEMLESS VILYA (digit one)
    2U+E062TENGWAR DIGIT TWO
    3U+E063TENGWAR DIGIT THREE
    4U+E064TENGWAR DIGIT FOUR
    5U+E065TENGWAR DIGIT FIVE
    6U+E066TENGWAR DIGIT SIX
    7U+E067TENGWAR DIGIT SEVEN
    8U+E068TENGWAR DIGIT EIGHT
    9U+E069TENGWAR DIGIT NINE
    10U+E06ATENGWAR DUODECIMAL DIGIT TEN
    11U+E06BTENGWAR DUODECIMAL DIGIT ELEVEN
    U+E06CTENGWAR DECIMAL BASE MARK
    U+E06DTENGWAR DUODECIMAL BASE MARK
    U+E06ETENGWAR DUODECIMAL LEAST SIGNIFICANT DIGIT MARK

    Tengwar has been used in Tolkien fandom since the publication of The Lord of the Rings in the 1950s.[22]

    With the exception of John Rhys-Davies, the actors playing the Fellowship of the Ring in The Lord of the Rings film trilogy have tengwar tattoos of the English word nine.[23]

    Footballers such as Sergio Agüero[24] and Fernando Torres[25] have tattoos with their first name in Tengwar on their forearms.

    See also

    References

    1. The War of the Jewels, Appendix D to Quendi and Eldar
    2. Jim Allan, An Introduction to Elvish, ISBN 0-905220-10-2
    3. The Hobbit, most editions with colour plates.
    4. The Lord of the Rings, Appendix E, "Writing: The Fëanorian Letters "
    5. DTS 1
    6. DTS 13
    7. DTS 14
    8. DTS 15
    9. DTS 22
    10. DTS 24
    11. DTS 50/51
    12. DTS 10
    13. DTS 16, DTS 17, DTS 18
    14. DTS 23
    15. Facsimiled in The Lays of Beleriand:299.
    16. Tyler, J. E. A. (2022). The Complete Tolkien Companion. Pan Books. ISBN 978-1-0350-0857-5.
    17. See Parma Eldalamberon 19 (2010), pp. 41–43.
    18. Martínez, Helios De Rosario (2011). "A Methodological Study of the Elvish Writing Systems". Proceedings of the Third International Conference on JRR Tolkien's Invented Languages, Omentielva Nelya, Whitehaven, 6-9 August 2009. Arda Philology. Vol. 3. The Arda Society. pp. 1–25. ISBN 978-91-973500-3-7.
    19. "Proposal to encode Tengwar in Plane 1 of ISO/IEC 10646-2". std.dkuug.dk. Retrieved 2023-03-23.
    20. "Roadmap to the SMP". www.unicode.org. Retrieved 2023-03-23.
    21. Michael Everson. "Tengwar: U+E000 - U+E07F". ConScript Unicode Registry. Retrieved 2017-03-13.
    22. Shelton, Luke (25 October 2022). "Anna Voß's Experience — Tolkien Experience Project (212)". Luke Shelton. Retrieved 23 March 2023. Like most Tolkien obsessed teens, I used to teach myself writing Tengwar. Nowadays I research writing systems by way of typesetting/typography. It's a field very much connected to Philology.
    23. "The stars of The Lord of the Rings trilogy reach their journey's end". SciFi.com. Archived from the original on March 6, 2007. Retrieved May 31, 2007.
    24. Kaviraj, Tina. "10 things you need to know about Sergio Aguero". www.sportskeeda.com. Retrieved 2022-02-05.
    25. "Torres and Aguero's Elvish Obssession [sic]". The Center Circle - A SoccerPro Soccer Fan Blog. 2014-12-17. Retrieved 2022-02-05.

    Sources

    For a list of linguistic material by Tolkien published in the journals Parma Eldalamberon and Vinyar Tengwar, see bibliography in Elvish languages (Middle-earth).

    • Derzhanski, Ivan A. "The Fëanorian Tengwar and the Typology of Phonetic Writing Systems." Vinyar Tengwar 41 (2000): 20–23.
    • Hostetter, Carl F. ""Si man i-yulmar n(g)win enquatuva": A Newly-Discovered Tengwar Inscription." Vinyar Tengwar 21 (1992): 6–10.
    • Smith, Arden R., Irmengard Rauch and Gerald F. Carr. "The Semiotics of the Writing Systems of Tolkien's Middle-earth." In Semiotics around the World: Synthesis in Diversity, I-II, ed. Irmengard Rauch, 1239–42. Berlin, Germany: Mouton de Gruyter, 1997.
    This article is issued from Wikipedia. The text is licensed under Creative Commons - Attribution - Sharealike. Additional terms may apply for the media files.